IN EVIDENZA
IL MARE AD AVIGLIANO GIÀ C’ERA MA SOLTANTO IL CONSIGLIERE ANGELO SUMMA NON LO SAPEVA |
|
| La nota questione sollevata dal consigliere di opposizione del Comune di Avigliano Angelo Summa relativa al DUP, ci regala una rassicurante conferma, vale a dire che l’incompetenza finalmente, dopo vent’anni, siede nel posto giusto: vale a dire tra i banchi dell’opposizione (che poi neppure in quello riescono a fare il proprio dovere avendo teoricamente un ruolo di controllo, mentre a quanto pare apprendono le notizie dai giornali).
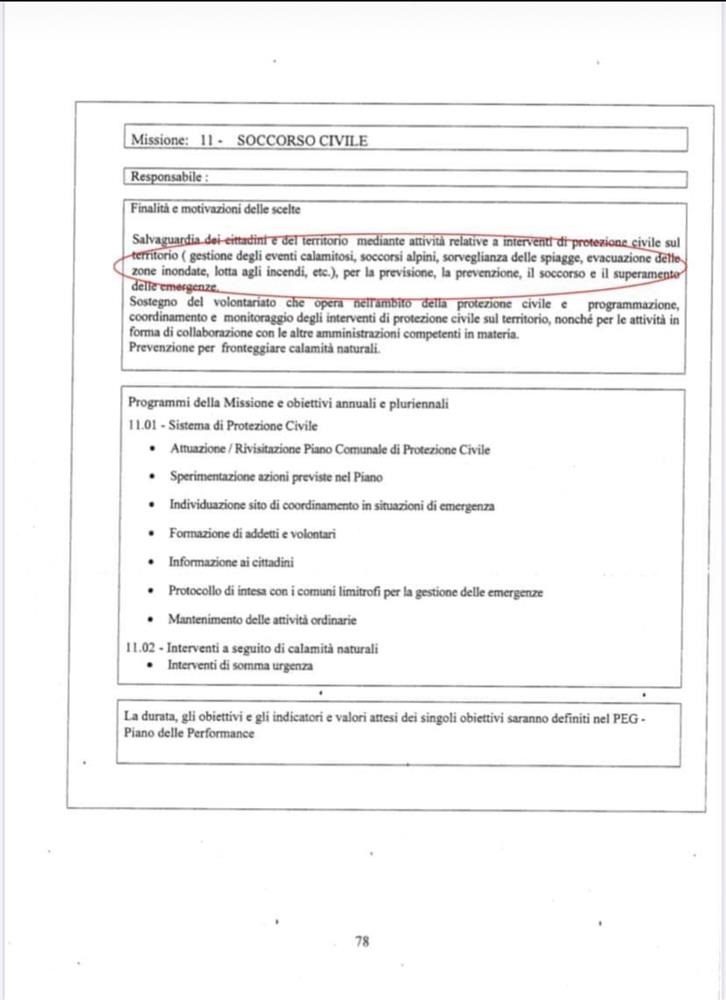
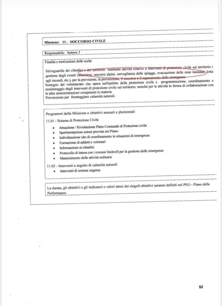
Il difetto di non leggere, evidentemente, è cosa risalente nel tempo per queste persone, posto che la precedente amministrazione si era già occupata di litorali e spiagge, precisamente dal 2016 al 2019, come dimostrato dai DUP allegati, ribandendo la “sorveglianza delle spiagge” e la “evacuazione delle zone inondate”. Mi spiace spegnere l’entusiasmo del consigliere Summa ma evidentemente difetta a comprendere che non è un refuso o un errore di stampa a qualificare il valore di un governo. Fatica inutile. Prova ne è il fatto che il popolo di Avigliano, pur non conoscendo questo “refuso”, ha deciso comunque di voltare pagina e di mandare a casa una classe politica che aveva tutt’altri demeriti, ben più seri e più gravi di un semplice refuso, che può capitare e che non condiziona la qualità di un documento, posto che si tratta evidentemente di un errore. Difronte alla medesima circostanza, ci sono almeno due differenze: che alcuni si reputavano “esperti”, mentre noi abbiamo ben chiaro di dover imparare e tanto. Se oggi intervengo, è soprattutto per difendere la qualità umana, professionale e morale di tutte le persone che a vario titolo danno il loro contributo all' amministrazione comunale di Avigliano. Il valore di questa amministrazione si misura tutte le mattine, quando siamo i primi ad arrivare, a metterci l’anima, a dare tutto, in un momento terribile che ci vede impegnati tante ore al giorno in attività legate alla pandemia e all’emergenza che viviamo. Dobbiamo camminare a testa alta, altissima. Un consiglio per il futuro. Bisogna crescere e saper perdere. Mi dispiace di aver distratto tempo e attenzione per chiarire questa montatura, perché il tempo adesso è prezioso e vorrei metterlo tutto a servizio del mio popolo, ora più che mai che le difficoltà sono immense. Ma valeva la pena affermare alcuni importanti principi: chi lavora può commettere errori e che deve sempre impegnarsi per migliorare, ma anche che non c’è nulla di cui vergognarsi e che le persone per bene faranno sempre più strada di quelle che, pur di “esistere”, si riducono a vendere una falsità che dura un paio giorni o poi sparisce con essi. Credo non ci sia altro da aggiungere. |
|
inviato il 21/04/2021 |
|
da il Sindaco Avv. Giuseppe Mecca |
|
|
per la categoria
INFORMAZIONI
|
|
FILE DISPONIBILI PER IL DOWNLOAD |
||
|
|
||
|
|
||




